電子線PDFにより非晶質材料の微小領域での構造評価ができます
非晶質材料の特徴
非晶質材料は、光学材料、太陽電池やリチウムイオン電池の負極や固体電解質など様々な用途に用いられます。金属やセラミックスなどの結晶性材料が、単位構造が周期的に配列した構造を有するのに対し、非晶質材料には周期的な構造が無いという違いがあります。非晶質材料では各原子が緩く結合しており、柔軟な構造変化を示しますが、その構造が材料特性に大きく影響します。
電子線PDFによる非晶質材料の構造解析
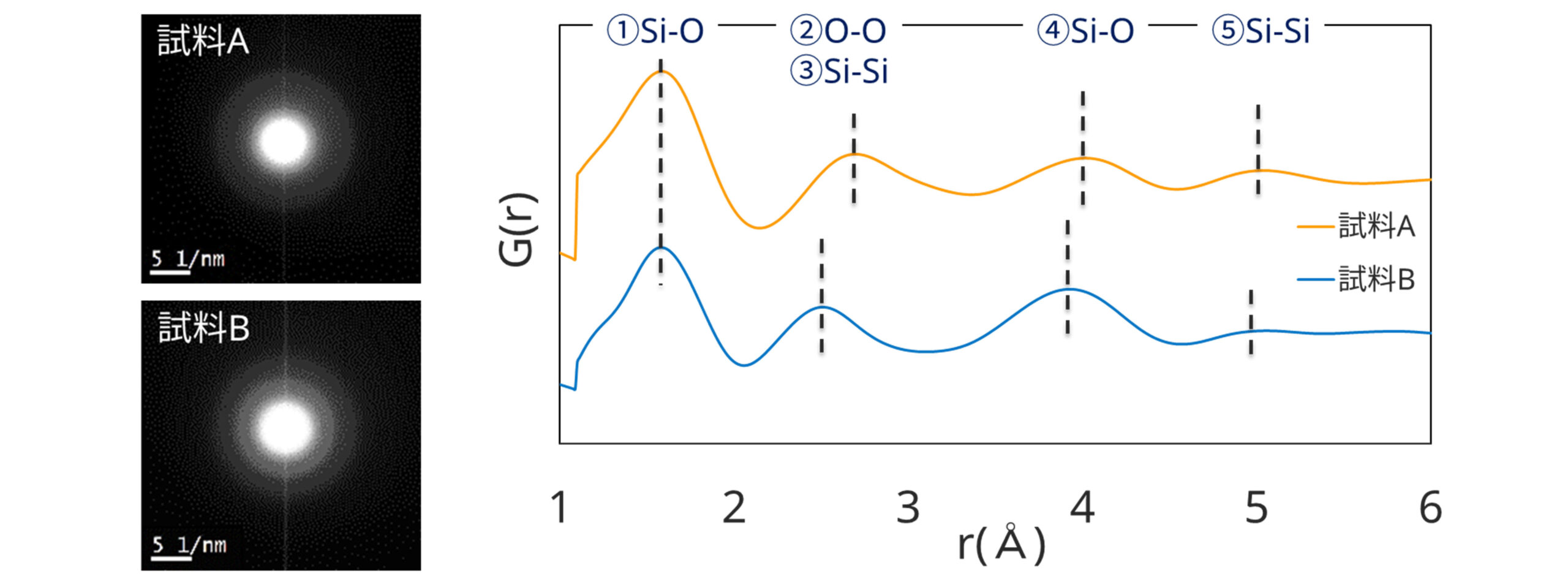
非晶質材料は周期構造を持たないため、X線全散乱測定から原子対相関関数 (PDF*) を求めることで構造を評価しますが、X線全散乱測定の測定範囲はμm~mmオーダーと大きいため、多層膜や界面など微小領域の構造を評価することはできません。
日産アークでは、透過電子顕微鏡 (TEM) で電子回折図形を取得し、PDF解析を行なうことで、nm~サブμmオーダー領域の非晶質構造を評価しています。
*PDF (Pair Distribution Function) : 距離がrの原子対の頻度を表す。
日産アークでは、透過電子顕微鏡 (TEM) で電子回折図形を取得し、PDF解析を行なうことで、nm~サブμmオーダー領域の非晶質構造を評価しています。
*PDF (Pair Distribution Function) : 距離がrの原子対の頻度を表す。


